• Предмет: Алгебра
  • Автор: szena192
  • Вопрос задан 3 года назад

Решить уравнение пожалуйста дам 13 баллов ​

Приложения:

Ответы

Ответ дал: NNNLLL54
1

Ответ:

1.\ \ 16x^2=49\ \ ,\ \ (4x-7)(4x+7)=0\ \ ,\ \ x_1=1,75\ ,\ \ x_2=-1,75\\\\b)\ \dfrac{1}{3}\, x^2+2x=0\ \ ,\ \ x\cdot (\dfrac{1}{3}\, x+2)=0\ \ ,\ \ x_1=0\ ,\ \ x_2=-6\\\\c)\ x^2+4x-45=0\ \ ,\ \ x_1=-9\ ,\ x_2=5\ \ (teorema\ Vieta)\\\\d)\ 3x^2-11x+15=0\ \ ,\ \ D=-59<0\ \ ,\ \  x\in \varnothing \\\\e)\ \ 2x^4-5x^2+2=0\ ,\ \ D=9\ ,\ \ x^2_1=\dfrac{1}{2}\ \ ,\ \ x_2^2=2\ \ \to \ \ x=\pm \dfrac{\sqrt2}{2}\ \ ,\ \ x=\pm \sqrt2

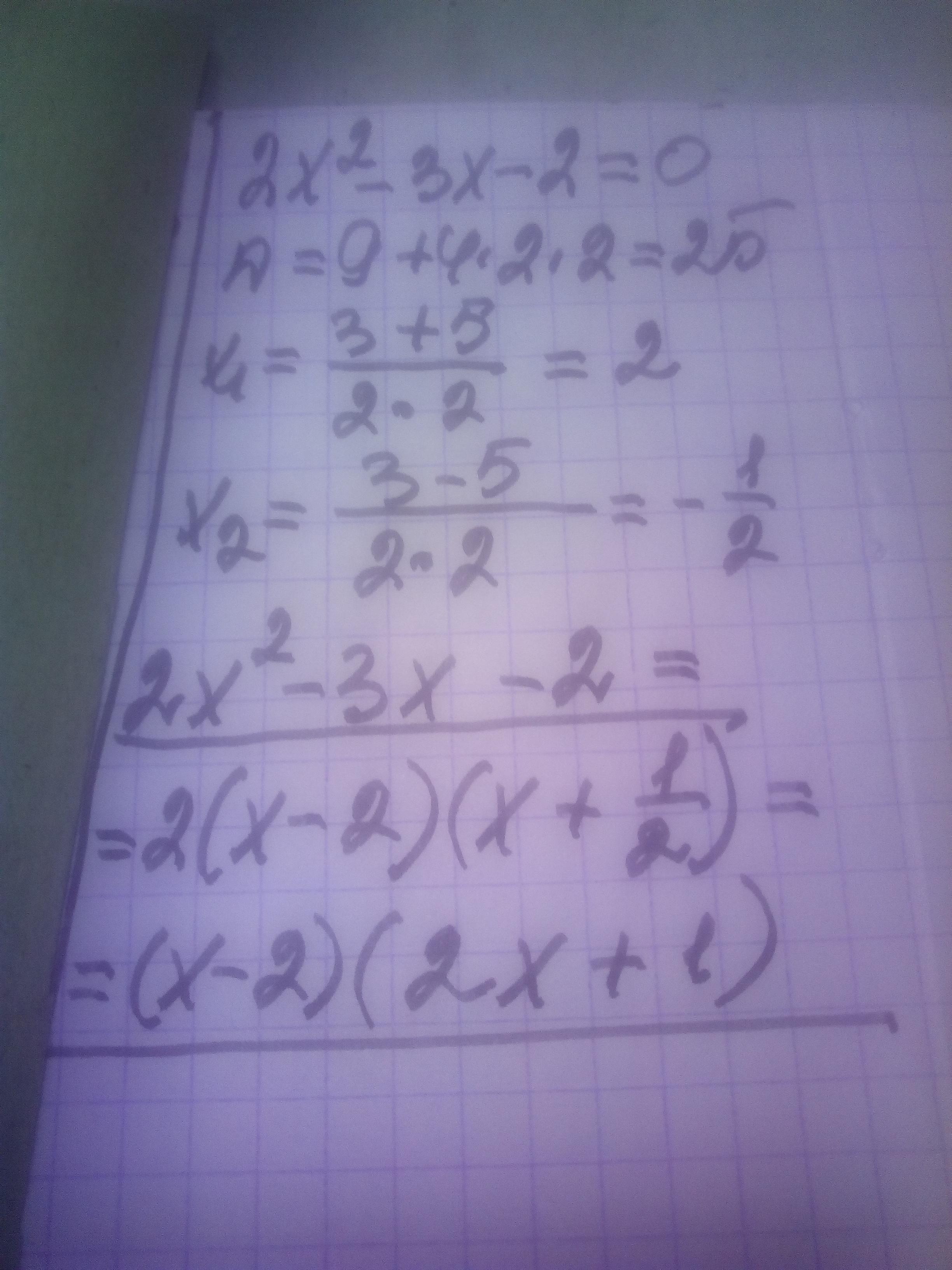
2.\ \ a)\ \ x^2+12x+30=(x+6)^2-36+30=(x+6)^2-6=\\\\=(x+6-\sqrt6)(x+6+\sqrt6)\\\\b)\ \ 2x^2-3x-2=0\ \ ,\ \ D=25\ \ ,\ \ x_1=-\dfrac{1}{2}\ ,\ \ x_2=2\\\\2x^2-3x-2=2\, \Big(x+\dfrac{1}{2}\Big)\Big(x-2\Big)=(2x+1)(x-2)

Ответ дал: manyny06
1

Ответ:

решение смотри на фотографии

Объяснение:

Приложения:

szena192: Спасибо, большое
Вас заинтересует