• Предмет: Алгебра
  • Автор: FedLess
  • Вопрос задан 3 года назад

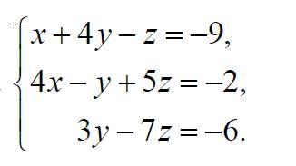
Решить систему линейных уравнений по формулам Крамера

Приложения:

Ответы

Ответ дал: Miroslava227
1

Ответ:

решение на фотографии.

Приложения:

FedLess: Спасибо, а можешь у меня в профиле еще одно задание посмотреть?))
Вас заинтересует