• Предмет: Алгебра
  • Автор: amalmahmuthanov92
  • Вопрос задан 3 года назад

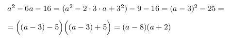
a²- 6a-16 разложить на трёхчлен

Ответы

Ответ дал: kriskonkova82
1

Ответ:

решение ниже

Объяснение:

Приложения:
Ответ дал: oqilovmehrob
1

Ответ:

 {a}^{2}  - 6a  - 16 \\  {a}^{2}  + 2a - 8a - 16 \\ a(a + 2) - 8(a + 2) \\ (a + 2)(a - 8)

Вас заинтересует