Ответы
Ответ дал:
0
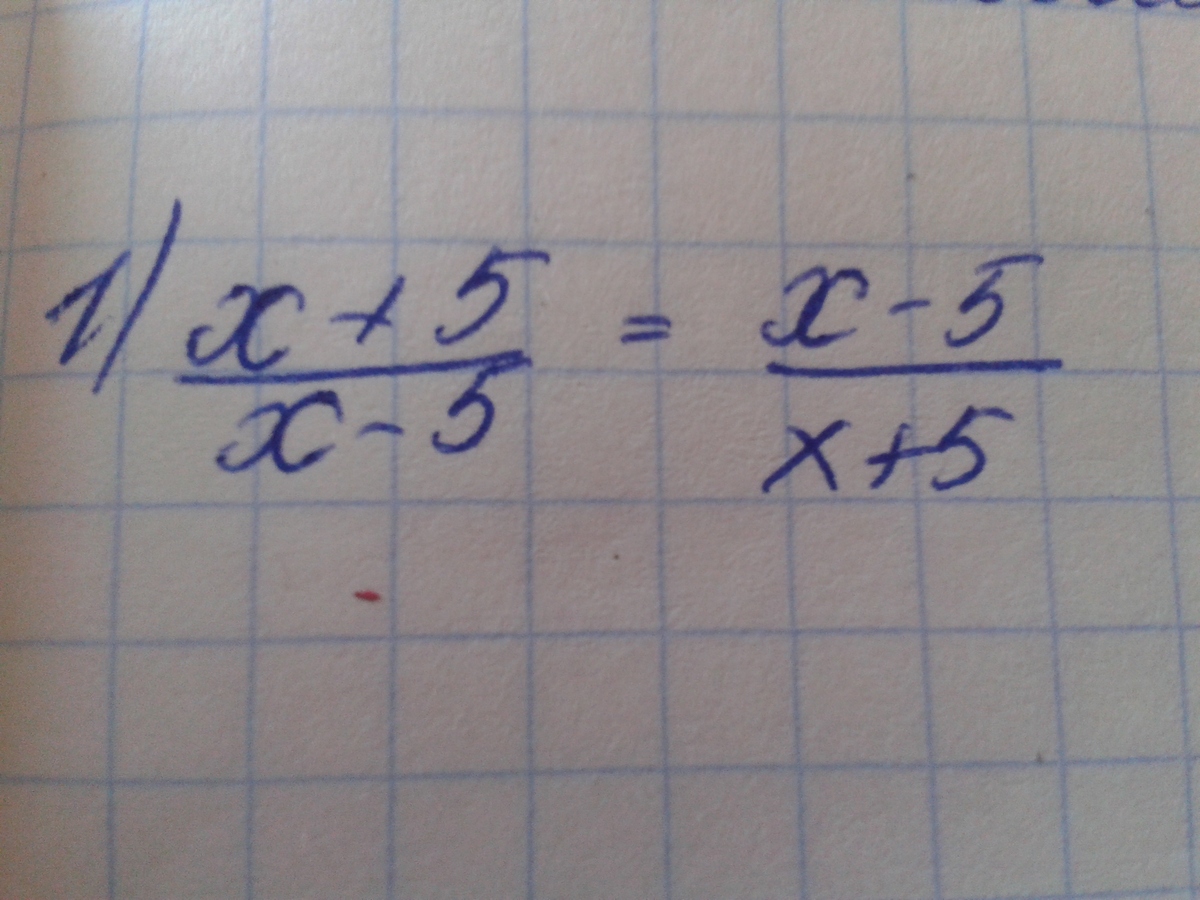
Сразу отметим, что знаменатель не может быть отрицательным, следовательно, х не может равняться 5 и -5. Перемножаем по правилу пропорций:
(x + 5)(x + 5) = (x - 5)(x - 5)
x^2 + 10x + 25 = x^2 - 10x + 25
20x = 0
x = 0
(x + 5)(x + 5) = (x - 5)(x - 5)
x^2 + 10x + 25 = x^2 - 10x + 25
20x = 0
x = 0
Ответ дал:
0
(x+5)/(x-5)=(x-5(/(x+5)
x<>-5 5
(x+5)/(x-5)-(x-5)/(x+5)=0
((x+5)^2-(x-5)^2)/(x-5)(x+5)=0
числитель =0
x^2+10x+25-x^2+10x-25=0
20x=0
x=0
x<>-5 5
(x+5)/(x-5)-(x-5)/(x+5)=0
((x+5)^2-(x-5)^2)/(x-5)(x+5)=0
числитель =0
x^2+10x+25-x^2+10x-25=0
20x=0
x=0
Вас заинтересует
3 года назад
3 года назад
8 лет назад
8 лет назад
11 лет назад
11 лет назад
11 лет назад