• Предмет: Математика
  • Автор: armansaduov55
  • Вопрос задан 3 года назад

помогите пожалуйста даю 10 баллов​

Приложения:

asylAilin: vinyl

Ответы

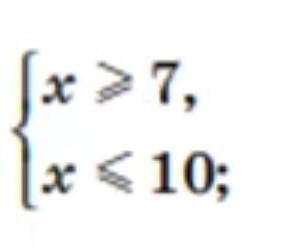
Ответ дал: asemgulaidarovna
0

Ответ:

ответ [7;10]

......................


armansaduov55: можно с решением пожалуйста
asemgulaidarovna: Это не решается. Просто на прямой отметь точку 7 и все справа от нее заштрихуй. На той же прямой отметь 10 и все что слева тоже заштрихуй
armansaduov55: понял спасибо
armansaduov55: помоги пожалуйста с ещё одним вопросом у меня в профиле
Вас заинтересует