• Предмет: Математика
  • Автор: Аноним
  • Вопрос задан 3 года назад

Плиизззззззз помогите 810

Приложения:

Ответы

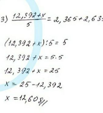
Ответ дал: bs0102039
2

Ответ:

ЭТО ПРАВИЛЬНО....................................................

Приложения:
Вас заинтересует