• Предмет: Алгебра
  • Автор: Аноним
  • Вопрос задан 3 года назад

Помогите пж сегодня нужно ​

Приложения:

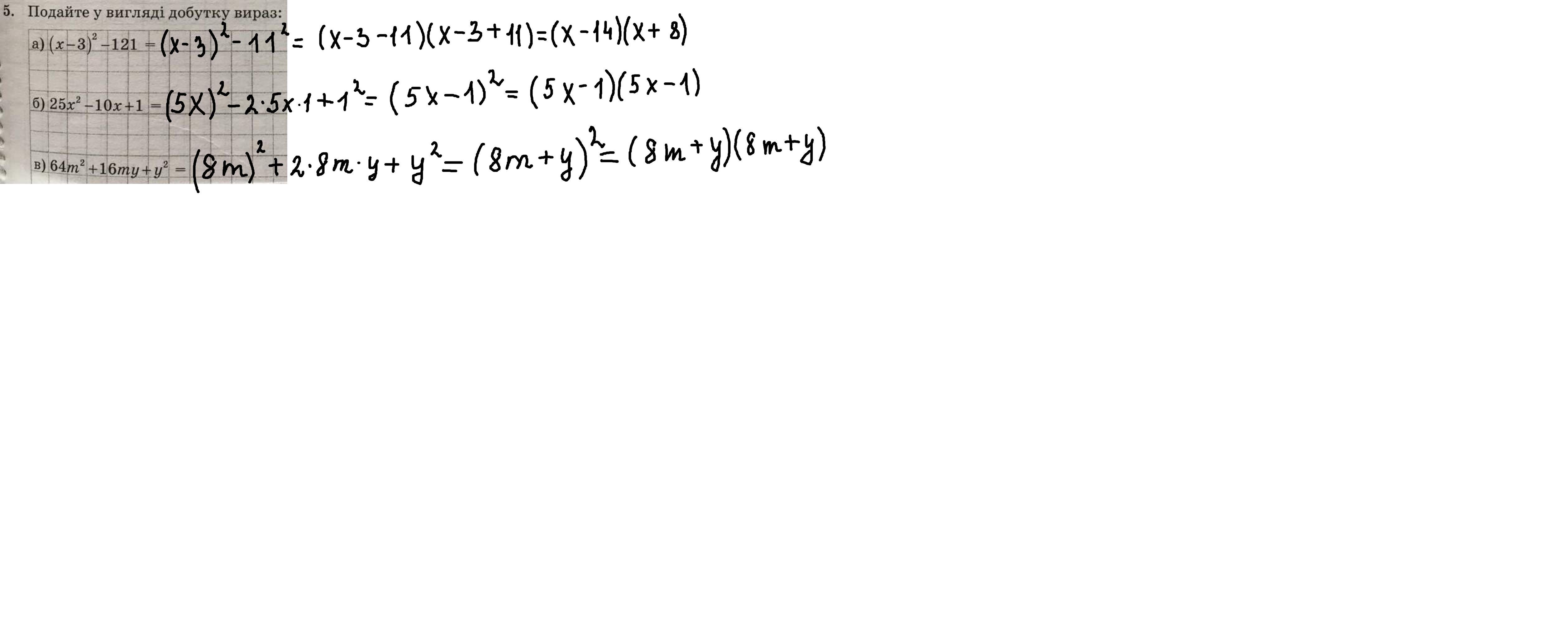
Ответы

Ответ дал: parus77
1

Ответ:

Объяснение:

смотри внизу

Приложения:

Аноним: ето точно?
parus77: 100% точно,можешь не сомневаться.
Аноним: спасибі вам
Вас заинтересует