• Предмет: Алгебра
  • Автор: Fgyjgh6
  • Вопрос задан 3 года назад

даю 30 баллов!
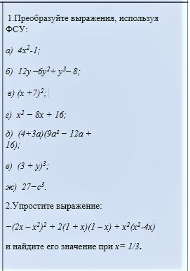
1.Преобразуйте выражения, используя ФСУ:

а) 4х2-1;

б) 12у –6у2+ у3– 8;

в) (х +7)2;

г) х2 − 8х + 16;

д) (4+3а)(9а² − 12а + 16);

е) (3 + у)3;

ж) 27−с3.

2.Упростите выражение:

−(2х – х2)2 + 2(1 + х)(1 – х) + х2(х2-4х)

и найдите его значение при х= 1/3.

Приложения:

Ответы

Ответ дал: aizhanzhumatai6
1

Объяснение:

Ответ Ответ Ответ Ответ Ответ

Приложения:
Вас заинтересует