• Предмет: Алгебра
  • Автор: ainura31102007
  • Вопрос задан 3 года назад

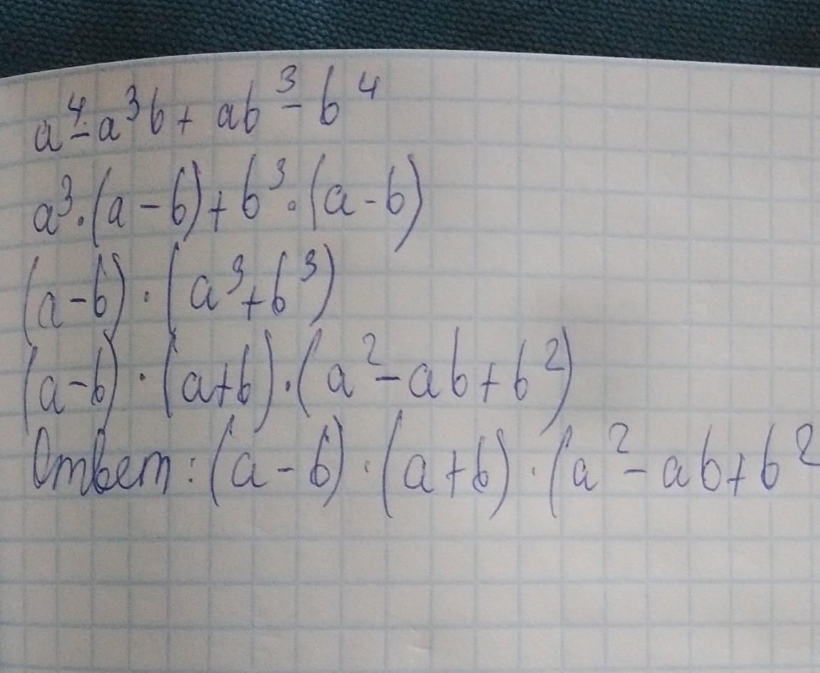
5.124. Разложите на множители:2)а⁴-а³b+ab³-b⁴​

Ответы

Ответ дал: TheDeformaZz
1

Ответ:

==============================================

а⁴ - а³b + ab³ - b⁴​ = a³(a - b) + b³(a - b) = (a³ + b³)(a - b)

==============================================

Ответ дал: Аноним
0

Ответ:

Подробный ответ на фото

Приложения:
Вас заинтересует