• Предмет: Математика
  • Автор: annasayeleva1410
  • Вопрос задан 3 года назад

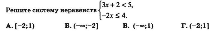
Помогите пожалуйста, срочноооооо!!! Всё в файле.

Приложения:

Ответы

Ответ дал: azarorynbas23
0

Ответ:

Г).(-2,1)

Пошаговое объяснение:

x < 1 \\  - 2x \leqslant 4 \\ x < 1 \\ x \geqslant  - 2 \\ ( - 2.1)

Вас заинтересует