• Предмет: Химия
  • Автор: orjabinina
  • Вопрос задан 3 года назад

АКТУАЛЬНО до 08.00 МСК , 16 февраля 2021 года .
Из предложенного перечня выберите вещества, в результате окислительно-восстановительной реакции между которыми образуется простое газообразное вещество. В ответе запишите уравнение только одной из возможных окислительно-восстановительных реакций с участием выбранных веществ. Составьте электронный баланс, укажите окислитель и восстановитель.

ПЕРЕЧЕНЬ веществ гидроксид бария, сероводород, аммиак, оксид серы(IV), перманганат натрия, дигидрофосфат натрия. Допустимо использование водных растворов веществ.


orjabinina: Решение должно быть обоснованным и подробным.
galiyeva2003: можно среду взять кислую? например серную кислоту?
orjabinina: Нет. Все условия в тексте задачи.
orjabinina: у Вас точно правильно
orjabinina: У Вас точно правильно?. Вы уверены? А если вдруг ошибка?
galiyeva2003: Точно правильно

Ответы

Ответ дал: galiyeva2003
2

Ответ:

Смотри ниже.

Объяснение:

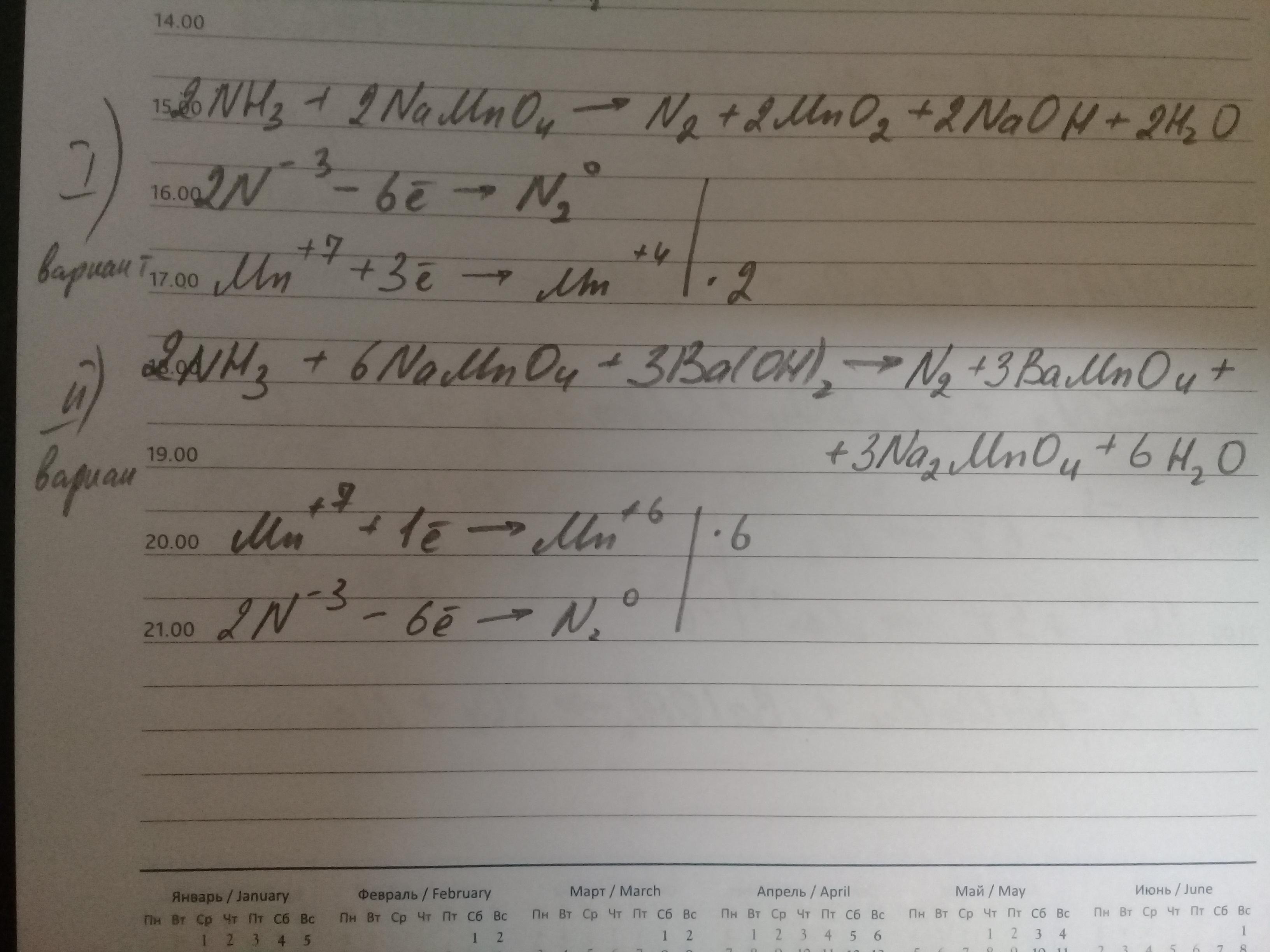
Там два варианта решения. Какой нравится, тот  и напиши. Оба правильные.

В первом среда водная.

Просто вода оказалась со стороны продуктов реакции.

О-ль - NaMnO4

В-ль - NH3

Во втором среда щелочная ( Ва(ОН)2 ).

О-ль - NaMnO4

В-ль - NH3

Приложения:

orjabinina: Оценю после того как поставят оценку .
orjabinina: не могу поставить-ЛУЧШЕЕ , тк нет значка. Спасибо.
orjabinina: Если нужны баллы можете порешать еще вопрос в моем профиле. Не стала пока удалять.
Вас заинтересует