• Предмет: Математика
  • Автор: plahotnaaanasia7
  • Вопрос задан 3 года назад

помогите даю 30 баллов. СРОЧНО!!! ​

Приложения:

Ответы

Ответ дал: gogaevaraisat
0

Ответ:

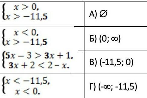
1).б

2).в

3).а

4).г

вот)))))


gogaevaraisat: спасибо
gogaevaraisat: отметь как лучший ответ пожалуйста
Вас заинтересует