• Предмет: Геометрия
  • Автор: hgzdeer
  • Вопрос задан 3 года назад

СРОЧНО 50 БАЛЛОВ ДАЮ
Дерево имеет в обхвате 2,512м. Чему равна площадь поперечного сечения
дерева, имеющего форму круга?

Ответы

Ответ дал: mac353san
2

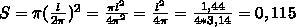
Ответ:

Обхват дерева - это длина окружности: l=2πR

Площадь поперечного сечения - площадь круга: S=πR².

1)Таким образом,

Объяснение:

2)и

Ответ: 0,115 м²

Приложения:
Вас заинтересует