• Предмет: Алгебра
  • Автор: zaharovav777
  • Вопрос задан 3 года назад

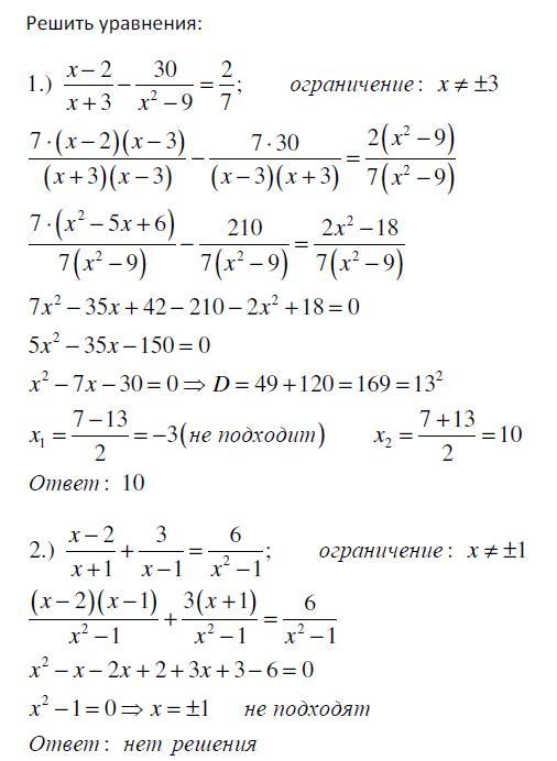
РЕШИТЕ ПОЖАЛУЙСТА
ДАЮ 20 БАЛЛОВ!!!!​

Приложения:

Ответы

Ответ дал: mioks
0

Ответ:

на фто

Объяснение:

Приложения:
Вас заинтересует