• Предмет: Геометрия
  • Автор: shokomisha112
  • Вопрос задан 3 года назад

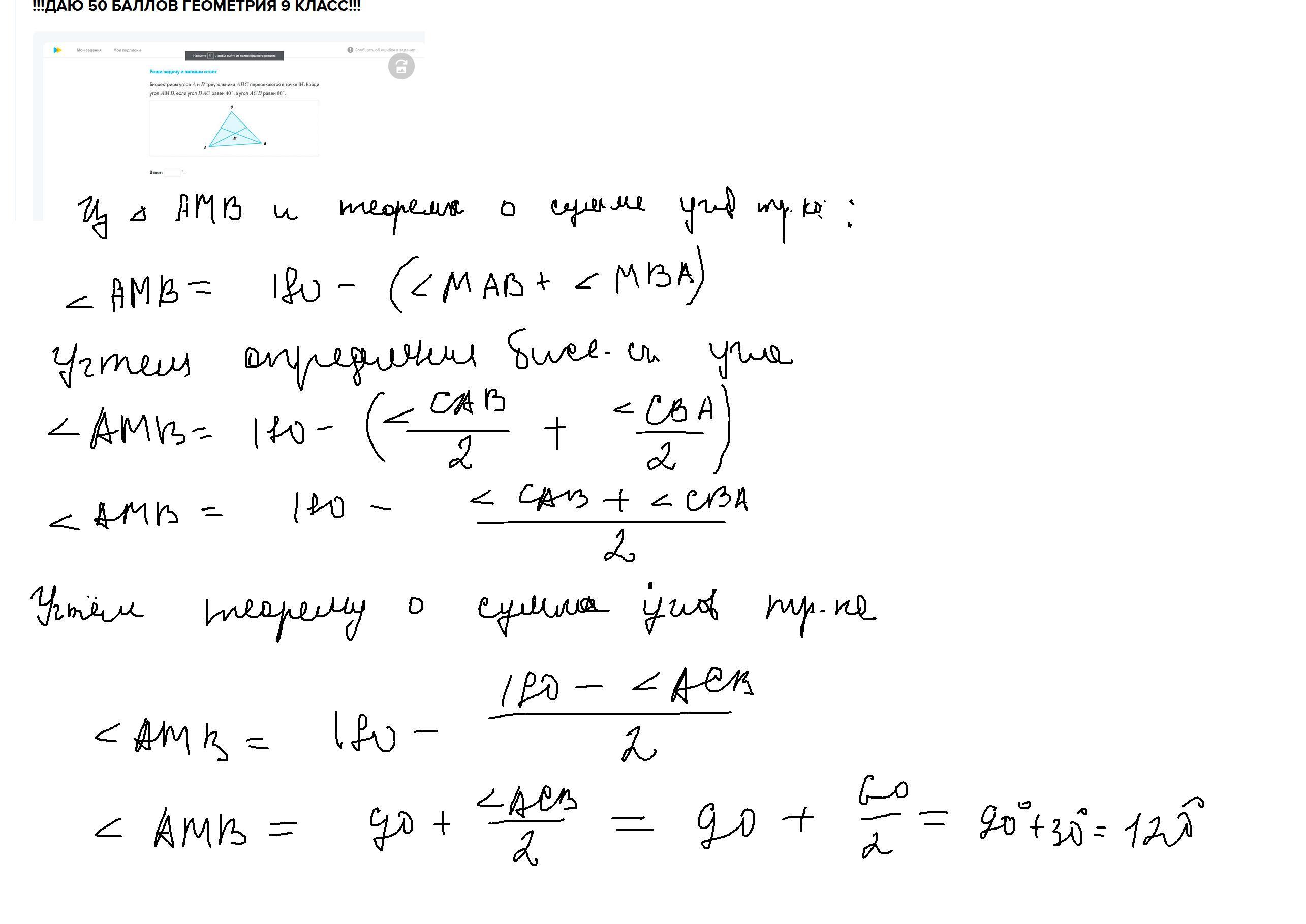
!!!ДАЮ 50 БАЛЛОВ ГЕОМЕТРИЯ 9 КЛАСС!!!

Приложения:

Ответы

Ответ дал: vikll
0

Ответ:

Объяснение: ГЕОМЕТРИЯ 9 КЛАСС!!!

Приложения:
Вас заинтересует