Разложите на множители
♡♡♡♡♡♡♡♡♡♡♡♡♡♡♡♡
Приложения:

Аноним:
только 2 и 4
Ответы
Ответ дал:
1
Ответ:
Объяснение:
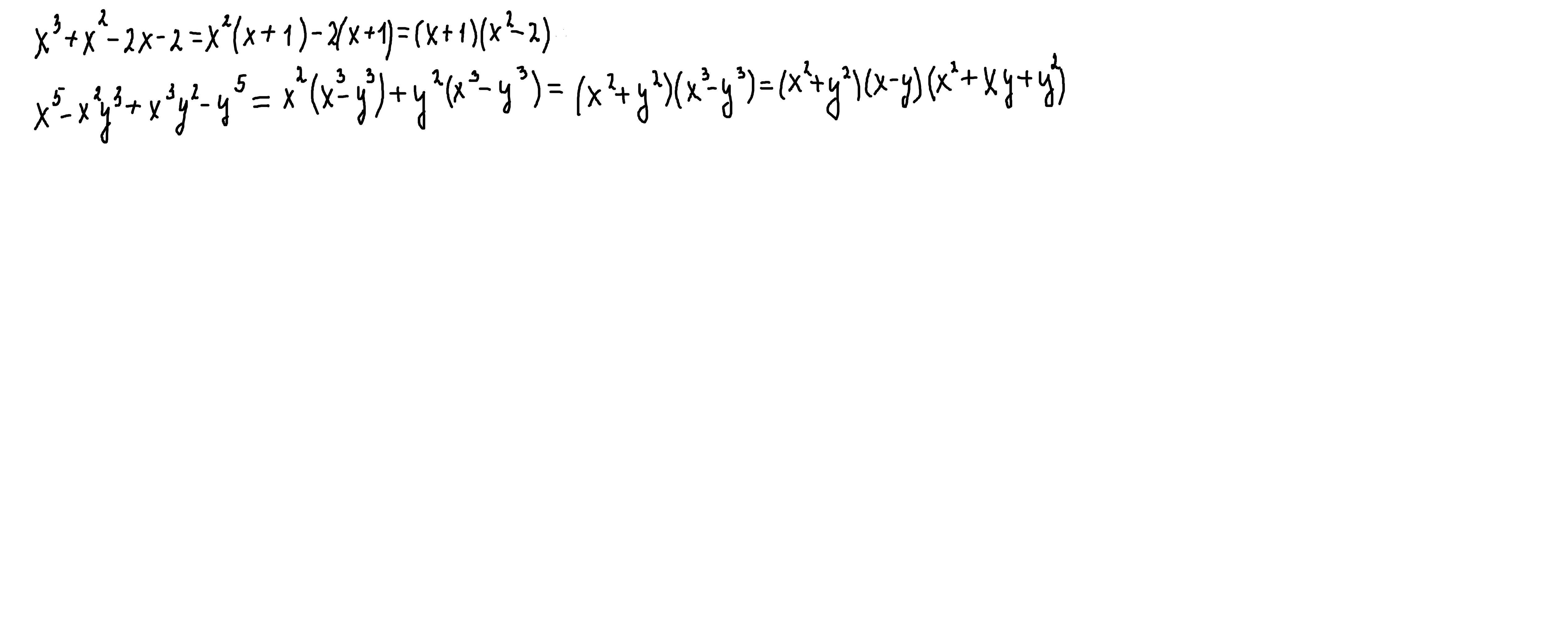
как просили 2 и 4
Приложения:

Вас заинтересует
2 года назад
2 года назад
2 года назад
8 лет назад
8 лет назад
9 лет назад