• Предмет: Алгебра
  • Автор: vetoskinakarolina89
  • Вопрос задан 3 года назад

разложить на множителии​

Приложения:

Ответы

Ответ дал: Аноним
3

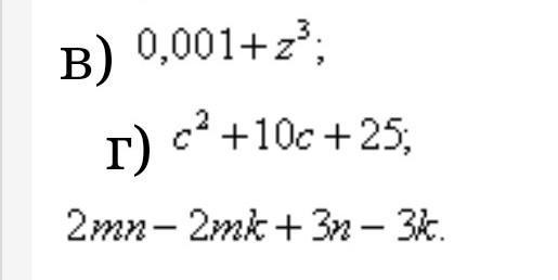
в)

0.001 + z {}^{3}  =  \frac{1}{1000}  + z {}^{3}  =  \frac{1}{1000}  \times (1 + 1000z {}^{3} ) =  \frac{1}{1000}  \times (1 + 10z)(1 - 10z + 100z {}^{2} )

г)

c {}^{2}  + 10c + 25 = c {}^{2}  + 2 \times c \times 5 + 5 {}^{2} ) = (c + 5) {}^{2}

2mn - 2mk + 3n - 3k = 2m(n - k) + 3(n - k) = (n - k)(2m + 3)

Вас заинтересует