• Предмет: Математика
  • Автор: ichigolol
  • Вопрос задан 3 года назад

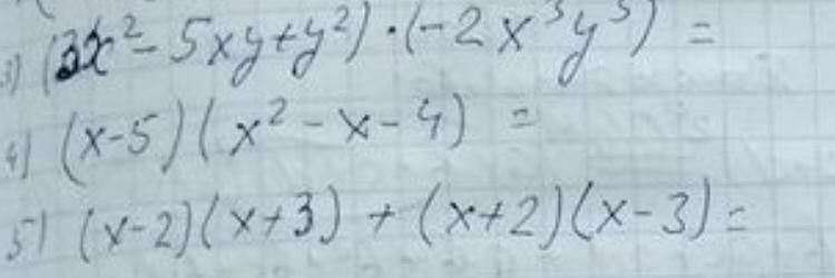
Помогите пожалуйста!!!
Нужно решить 3,4,5

Приложения:

Ответы

Ответ дал: akrdiya
1
Надеюсь правильно , удачи
Приложения:
Вас заинтересует