Доброго времени суток!Мне задали три задания по матеши,пожалуйста помогите решить пример.СРОЧНО!!!Заранее благодарю от души(ب_ب)
Приложения:

Ответы
Ответ дал:
2
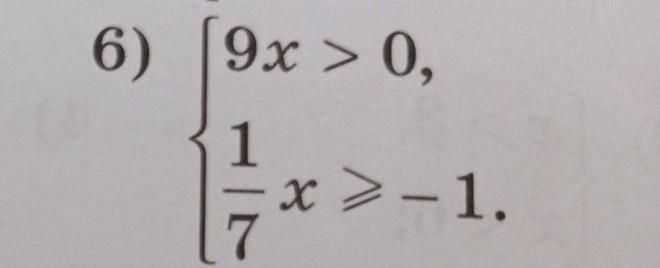
Ответ:
Пошаговое объяснение:
Приложения:

seyameli5:
Спасибо огромное!!!Ты мне очень сильно помогл(а) :'0
Вас заинтересует
2 года назад
2 года назад
2 года назад
2 года назад
8 лет назад
8 лет назад
9 лет назад