• Предмет: Алгебра
  • Автор: Ksenamjoon
  • Вопрос задан 3 года назад

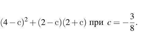
алгебра 7 класс, решите пожалуйста срочно!

Приложения:

Ответы

Ответ дал: digastyle
1

Ответ:

Решение представлено на фотографии

Приложения:
Ответ дал: Аноним
2

Ответ:хех)))

вот))) если что обращайся, я в этом шарю))))

Объяснение:

Чтобы это решить, надо сначала упростить выражение

(4-с)²+(2-с)(2+с)=(4²-2*4*с+с²)+(2*2+2с-2с-с²)=16-8с+с²+4-с²=20-8с

Далее подставляем и решаем

20-8*(-3/8)=20+(8*3/1*8)=20+3=23

Вас заинтересует