• Предмет: Алгебра
  • Автор: arsen00005555
  • Вопрос задан 3 года назад

Найдите множество решений системы уравнений

Приложения:

Ответы

Ответ дал: bb573878
0

Ответ:

Объяснение:

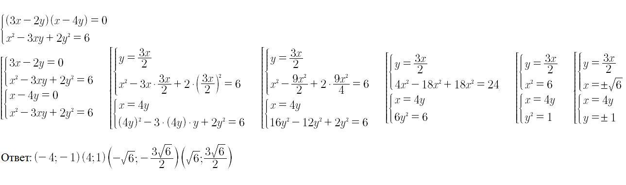
\displaystyle\\\left \{ {{(3x-2y)(x-4y)=0} \atop {x^2-3xy+2y^2=6}} \right.\\\\1)\left \{ {{x=4y} \atop {(4y)^2-3*4y*y+2y^2=6}} \right. \ \ \left \{ {{x=4y} \atop {6y^2=6}} \right.\ \ \left \{ {{x=4y} \atop {y^2=1}} \right. \ \ \left \{ {{x=4y} \atop {y=\pm1}} \right.

получаем решения (-4;-1)  (4;1)

\displaystyle\\2)\left \{ {{y=\frac{3x}{2} } \atop {x^2-3x*\frac{3x}{2}}+2*(\frac{3x}{2})^2=6} \right.\ \ \left \{ {{y=\frac{3x}{2} } \atop {x^2-\frac{9x^2}2}+\frac{18x^2}{4}=6  }} \right.\\\\\\\left \{ {{y=\frac{3x}{2} } \atop {4x^2-18x^2+18x^2=24 }} \right. \ \  \left \{ {{y=\frac{3x}{2} } \atop {4x^2=24 }} \right.\ \ \left \{ {{y=\frac{3x}{2} } \atop {x=\pm\sqrt{6}  }} \right. \\\\

получаем решения (-√6;-1.5*√6)  (√6; 1.5*√6)

Приложения:
Вас заинтересует