• Предмет: Алгебра
  • Автор: Аноним
  • Вопрос задан 3 года назад

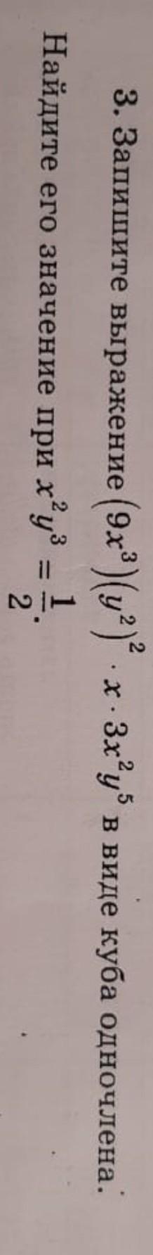
Пооооомогите пожалуйста с оформлением ​

Приложения:

Ответы

Ответ дал: parus77
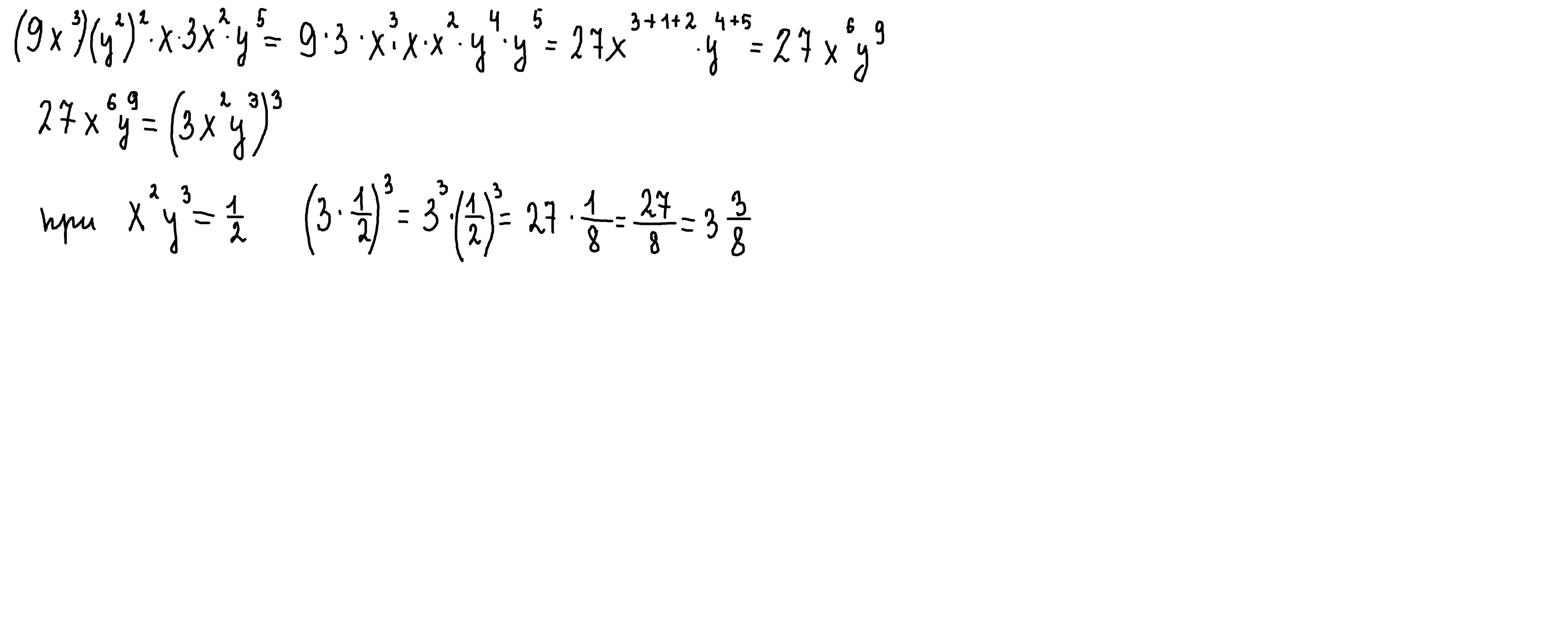
1

Ответ:

3 3\8

Объяснение:

решение внизу

Приложения:
Вас заинтересует