Ответы
Ответ дал:
0
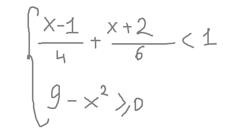
x^2<=9
x>=-3
x<=3
x-1/4+x+2/6<1
3(x-1)+2(x+2)-12<0
3x-3+4x+8-12<0
7x-7<0
x<1
Ответ -3 -2 -1 0
x>=-3
x<=3
x-1/4+x+2/6<1
3(x-1)+2(x+2)-12<0
3x-3+4x+8-12<0
7x-7<0
x<1
Ответ -3 -2 -1 0
Вас заинтересует
3 года назад
3 года назад
8 лет назад
11 лет назад
11 лет назад