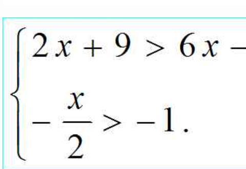
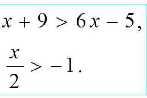
здесь 1 пример и все. (на втором фото продолжение примера) Помогите мне
Приложения:


zaranarymbaeva11:
Ну да он один но сложно,а ты в каком классе?
Ответы
Ответ дал:
0
Ответ:
........................
Приложения:

Вас заинтересует
2 года назад
2 года назад
2 года назад
2 года назад
8 лет назад
8 лет назад
9 лет назад
9 лет назад