• Предмет: Алгебра
  • Автор: arinakomarova191
  • Вопрос задан 3 года назад

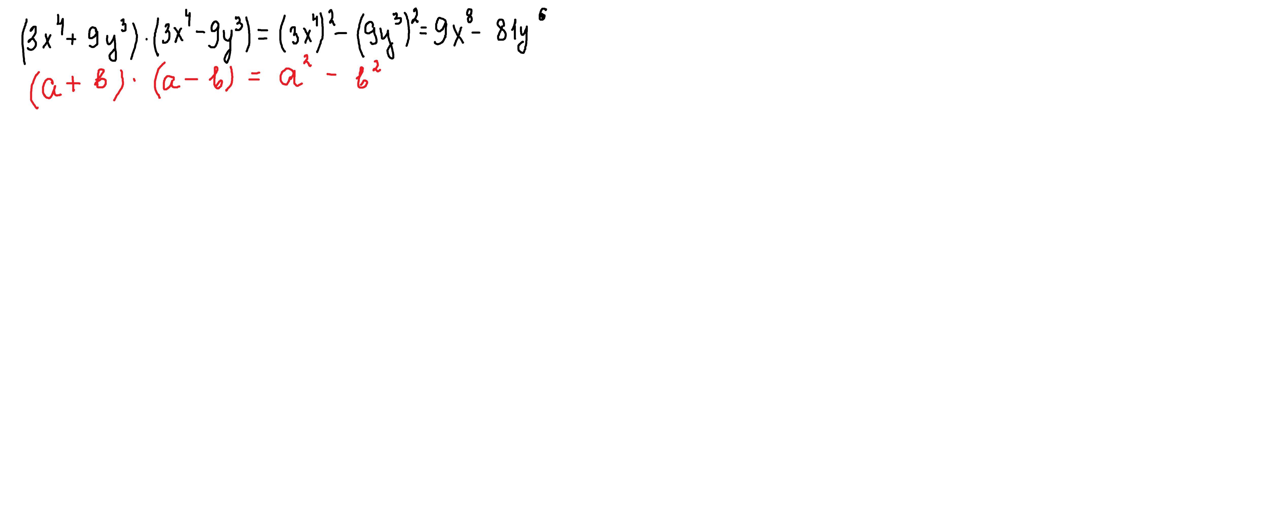
Представьте в виде многочлена выражение​

Приложения:

Ответы

Ответ дал: tatsach
2

Ответ:

Объяснение:

...............

Приложения:
Ответ дал: parus77
1

Ответ:

Объяснение:смотри внизу

Приложения:
Вас заинтересует