Помоги. Как решать такие примеры :
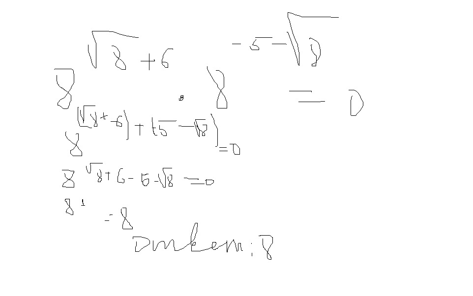
8 в степени квадратный корень из 8 + 6(без корня) умножить на 8 в степени -5-квадратный корень из 8
Ответы
Ответ дал:
0
-----------------------------------------------------
Приложения:

Ответ дал:
0
Переделал
Вас заинтересует
2 года назад
2 года назад
8 лет назад
8 лет назад
10 лет назад
10 лет назад
10 лет назад