• Предмет: Алгебра
  • Автор: rekovnik2007
  • Вопрос задан 3 года назад

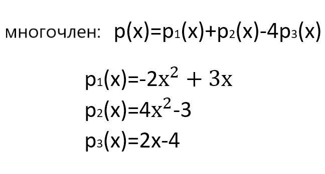
Составьте многочлен (см. ниже) и запишите его в стандартном виде, если

Приложения:

Ответы

Ответ дал: alexokmail
1

p(x) = p1(x) + p2(x) - 4p3(x),

где: p1(x) = -2x² + 3x

p2(x) = 4x² - 3

p3(x) = 2x - 4

p(x) = (-2x² + 3x) + (4x² - 3) - 4(2x - 4) =

= -2x² + 3x + 4x² - 3 - 8x + 16 =

= 2x² - 5x + 13

Вас заинтересует