• Предмет: Кыргыз тили
  • Автор: kydyrkozanuraj
  • Вопрос задан 3 года назад

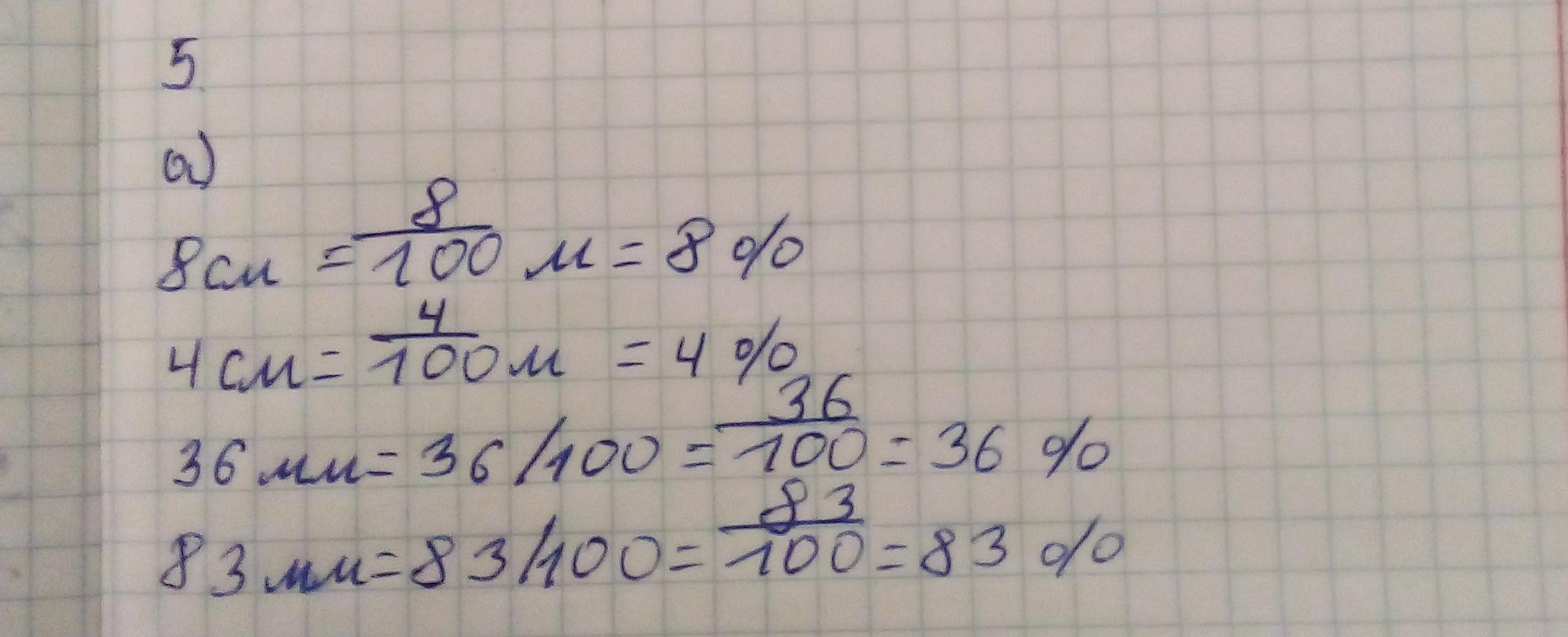
5
5. Тапсырманы орында.
а) Бөлшек түрінде жаз.
8 см, 4 см, 36 мм, 83 мм бір дециметрдің қандай бөлігін құрайды?
ә) Пайыз түрінде жаз.
15 мм, 45 мм, 75 мм бір дециметрдің қандай бөлігін құрайды?
69 м2, 20 м2, 50 м бір сотықтың қандай бөлігін құрайды?​


kenzegalievamoldir48: ема
zholdas1907071: Не
zholdas1907071: Некерек
kenzegalievamoldir48: ештене
gulnarmoldabaeva6: не пишите пжжжжжжжжжжж

Ответы

Ответ дал: sailauadiua
74

(•‿•)(•‿•)(•‿•)(◕ᴗ◕✿)(◔‿◔)

( ◜‿◝ )(◍•ᴗ•◍)❤

           

Приложения:

era1582: ааа
era1582: Спс
ahmetmagzhan: незачто
saltanattalgatkyzy25: спссссс
samatsejdahanov: спс.
akzholkausar21: Молодец
akzholkausar21: Рақмет көп көп
akzholkausar21: көмегі тиді
akzholkausar21: РАҚМЕТ❤
Аноним: рахмет
Вас заинтересует