• Предмет: Алгебра
  • Автор: monteshadows
  • Вопрос задан 3 года назад

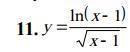
Найти вторую производную функции Y:

Приложения:

Ответы

Ответ дал: Miroslava227
2

Ответ:

y' =  \frac{( ln(x - 1))' \times  \sqrt{x - 1}  - ( {(x - 1)}^{ \frac{1}{2} }) '\times  ln(x - 1)   }{ {( \sqrt{x - 1}) }^{2} }  =  \\  =  \frac{ \frac{1}{x - 1} \times  \sqrt{x - 1}  -  \frac{1}{2}   {(x - 1)}^{ -  \frac{1}{2} } ln(x - 1)  }{x - 1}  =  \\  =  \frac{ \frac{1}{ \sqrt{x - 1} } -  \frac{ln(x - 1) }{2 \sqrt{x - 1} }  }{x - 1}  =   \frac{2 -  ln(x - 1) }{2 \sqrt{ {(x - 1)}^{3} } }

y'' =  \frac{(2 -  ln(x - 1)) '\times 2 \sqrt{ {(x - 1)}^{3} }  - (2 {(x - 1)}^{ \frac{3}{2} }  ) '\times (2 -  ln(x - 1)) }{4 {(x - 1)}^{3} }  =  \\  =  \frac{ -  \frac{1}{x - 1} \times 2 \sqrt{ {(x - 1)}^{3} }  - 2 \times  \frac{3}{2}  \sqrt{x - 1} \times (2 -  ln(x - 1))   }{4  {(x - 1)}^{3}  }  =  \\  =  \frac{ - 2 \sqrt{x - 1}  - 3 \sqrt{x - 1}(2 -  ln(x - 1))  }{4 {(x - 1)}^{3} }  =  \\  =  -  \frac{ \sqrt{x - 1} (2 + 3(2 -  ln(x - 1))) }{4 {(x - 1)}^{3}  }  =  \\  =  -  \frac{2 + 6 - 3 ln(x - 1) }{4 \sqrt{ {(x - 1)}^{5} } }  =  -  \frac{8 - 3 ln(x - 1) }{4 \sqrt{ {(x - 1)}^{5} } }  =  \\  =  \frac{3 ln(x - 1) - 8 }{4 \sqrt{ {(x - 1)}^{5} } }

Вас заинтересует