• Предмет: Алгебра
  • Автор: AmaHalk112007
  • Вопрос задан 3 года назад

момогите решить даю 35 баллов!!очень срочно​

Приложения:

olyakungurtzeva: и с решением же?
AmaHalk112007: можно
AmaHalk112007: реши мне только последнюю задачу
AmaHalk112007: дам 35 баллов
olyakungurtzeva: сори,я только уравнения и примеры
AmaHalk112007: не че я уже все
AmaHalk112007: как тебе баллы скинуть

Ответы

Ответ дал: deniskorabl23
1

Ответ:

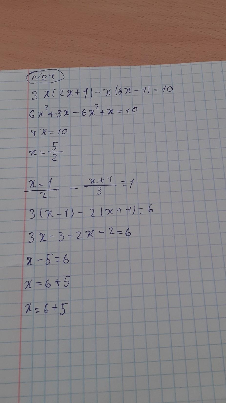
сори только 4 номера смог решить , в задачках по геометрии не шарю

Приложения:
Вас заинтересует