• Предмет: Математика
  • Автор: lizaveta280709
  • Вопрос задан 3 года назад

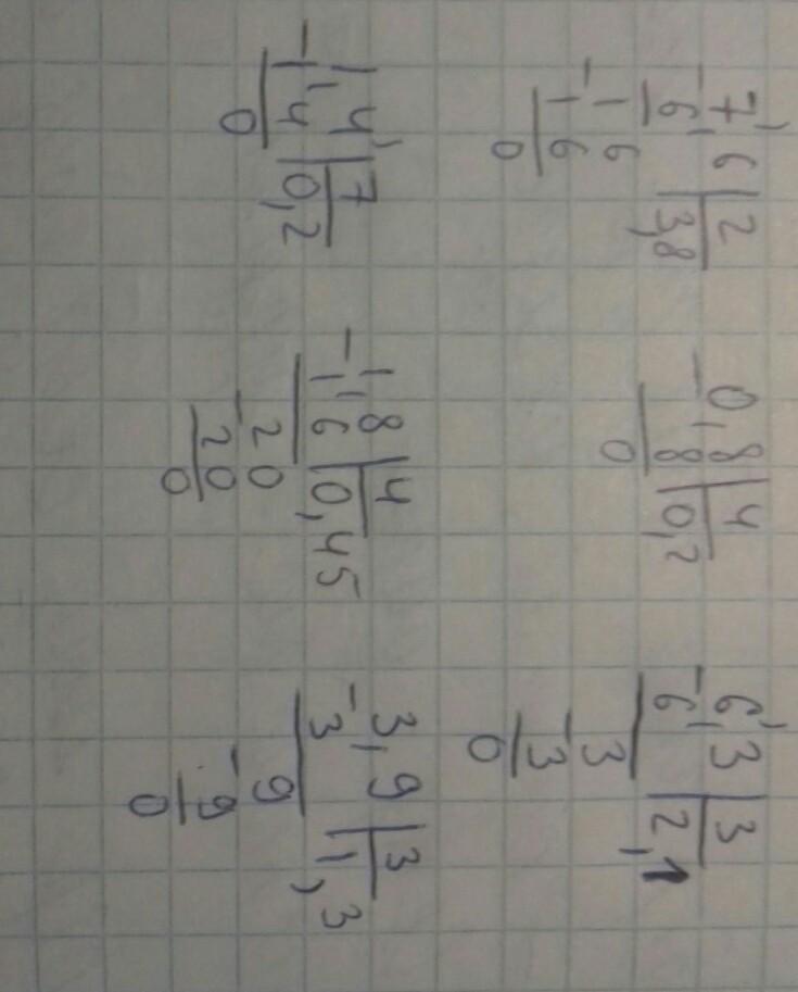
Выполните
7,6 : 2 =
0.8 : 4 =
6,3 : 3 =
1,4 : 7 –
1.8 : 4 =
3.9: 3 =
помогите пж сделаю лучшим ответом кто первый поможет​

Ответы

Ответ дал: EpicSans08
2

Ответ:

Ответ на фото

Пошаговое объяснение:

Ответ на фото

Приложения:
Вас заинтересует