• Предмет: Алгебра
  • Автор: vadimsycuk1
  • Вопрос задан 3 года назад

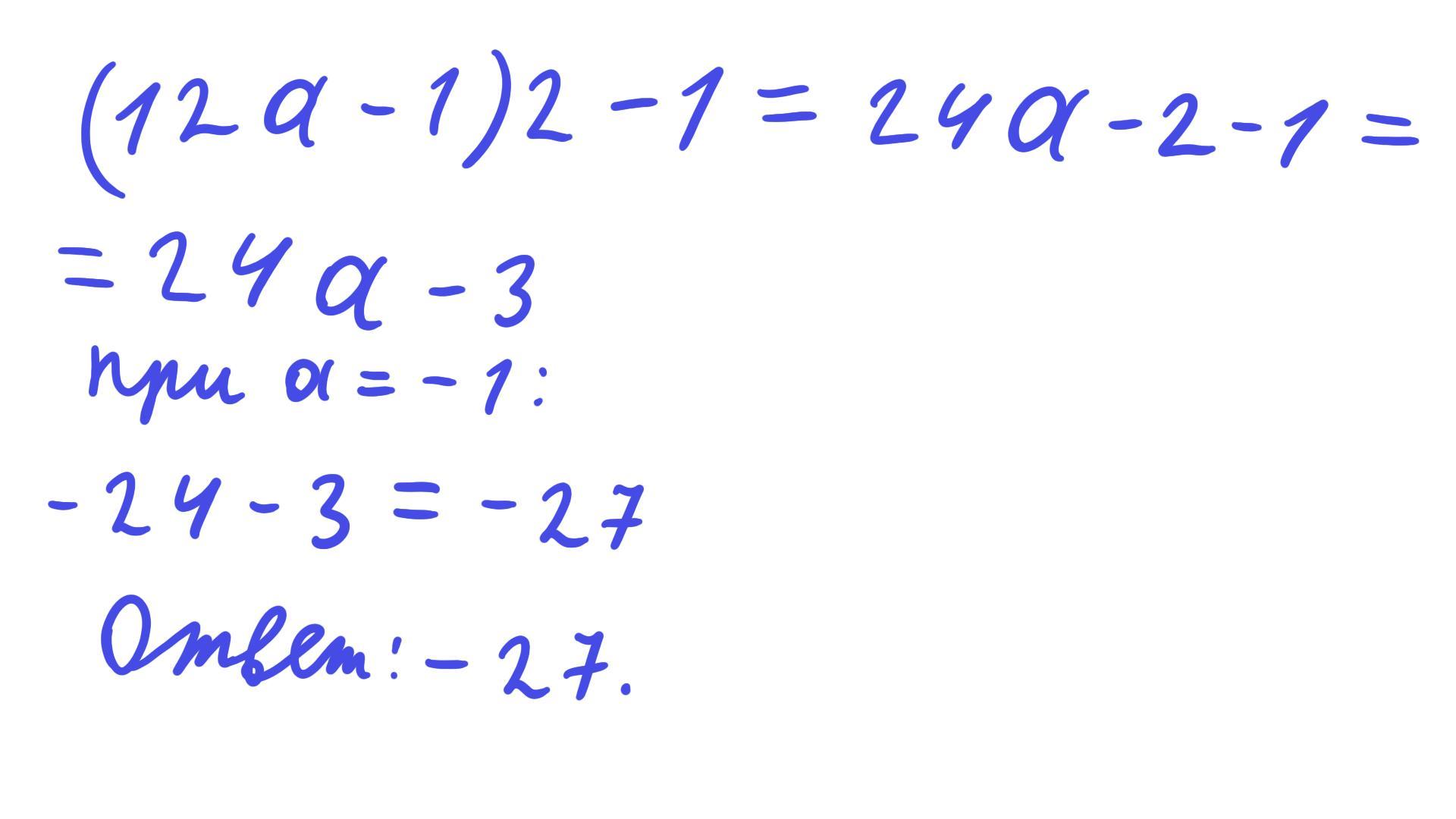
1). Упростить выражение и найти его значение: (12a-1)2-1 при а = -1

Ответы

Ответ дал: elvirakhasanova04
1

Ответ:

24a-2-1=24a-3=24*(-1)-3=-24-3=-27

Ответ дал: skrulenn
1

Как-то сократить тут не получится, но и не надо, как видно.

Приложения:
Вас заинтересует