• Предмет: Алгебра
  • Автор: UnicornIra
  • Вопрос задан 3 года назад

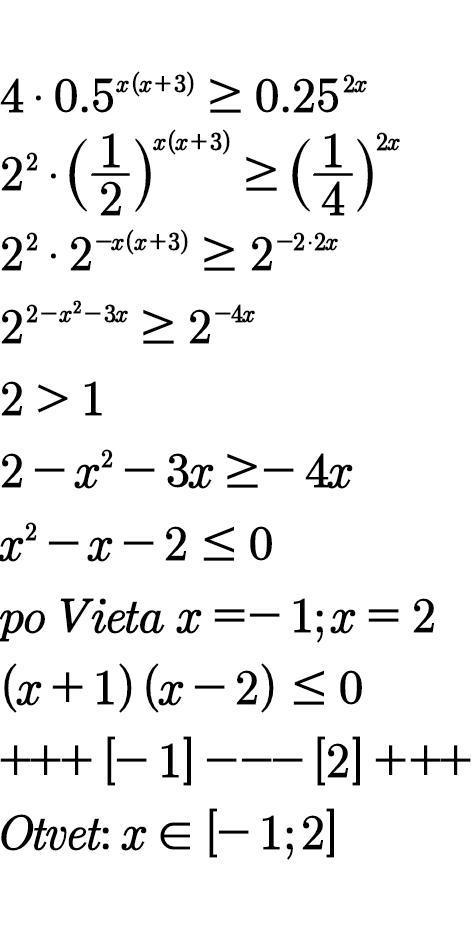
Решите неравенство, пожалуйста

Приложения:

Ответы

Ответ дал: tamarabernukho
1

Ответ:

Объяснение:

................................

Приложения:

ata221: Помогите, пожалуйста, с алгеброй https://znanija.com/task/42859440
Вас заинтересует