• Предмет: Математика
  • Автор: kiramaslakova20061
  • Вопрос задан 3 года назад

СРОЧНО ДАЮ 20 БАЛОВ
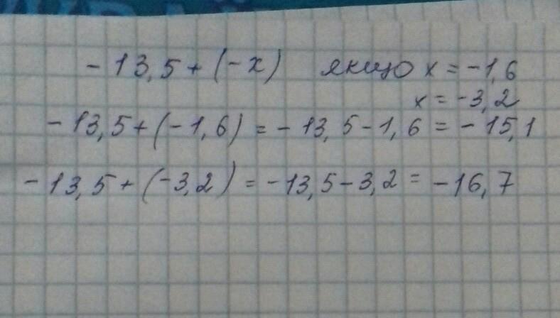
знайдіть значення виразу -13,5+(-х) , якщо х= -1,6: -3,2​​

Ответы

Ответ дал: furmansergii79
0

Пошаговое объяснение:

пожалуйста..................

Приложения:
Вас заинтересует