• Предмет: Алгебра
  • Автор: taktaevmisa03
  • Вопрос задан 3 года назад

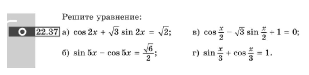
Решите пожалуйста !!! ​

Приложения:

Ответы

Ответ дал: linasunday777
1

см решение в прикрепленном фото

Объяснение:

Приложения:
Вас заинтересует