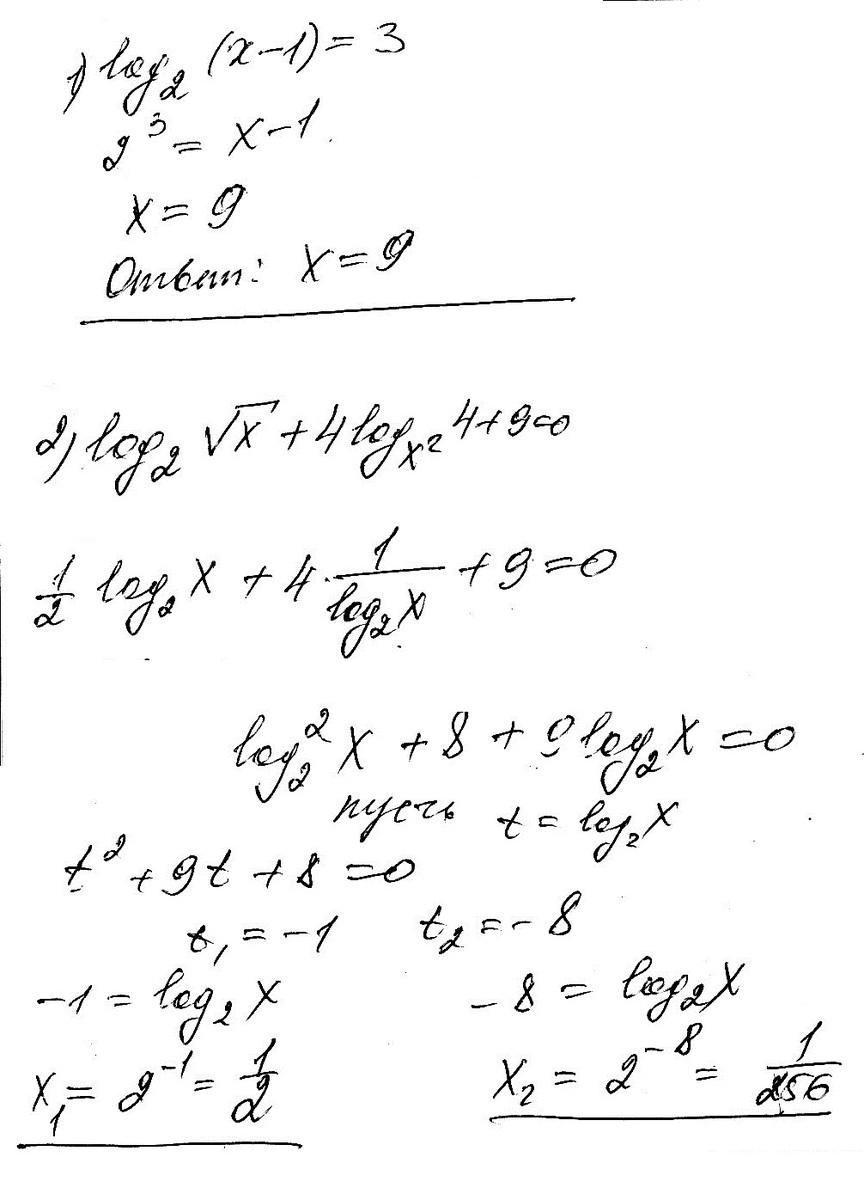
log2 по основанию x-1=3
log2 по основанию корень из x +4logx^2 по основанию 4+9=0
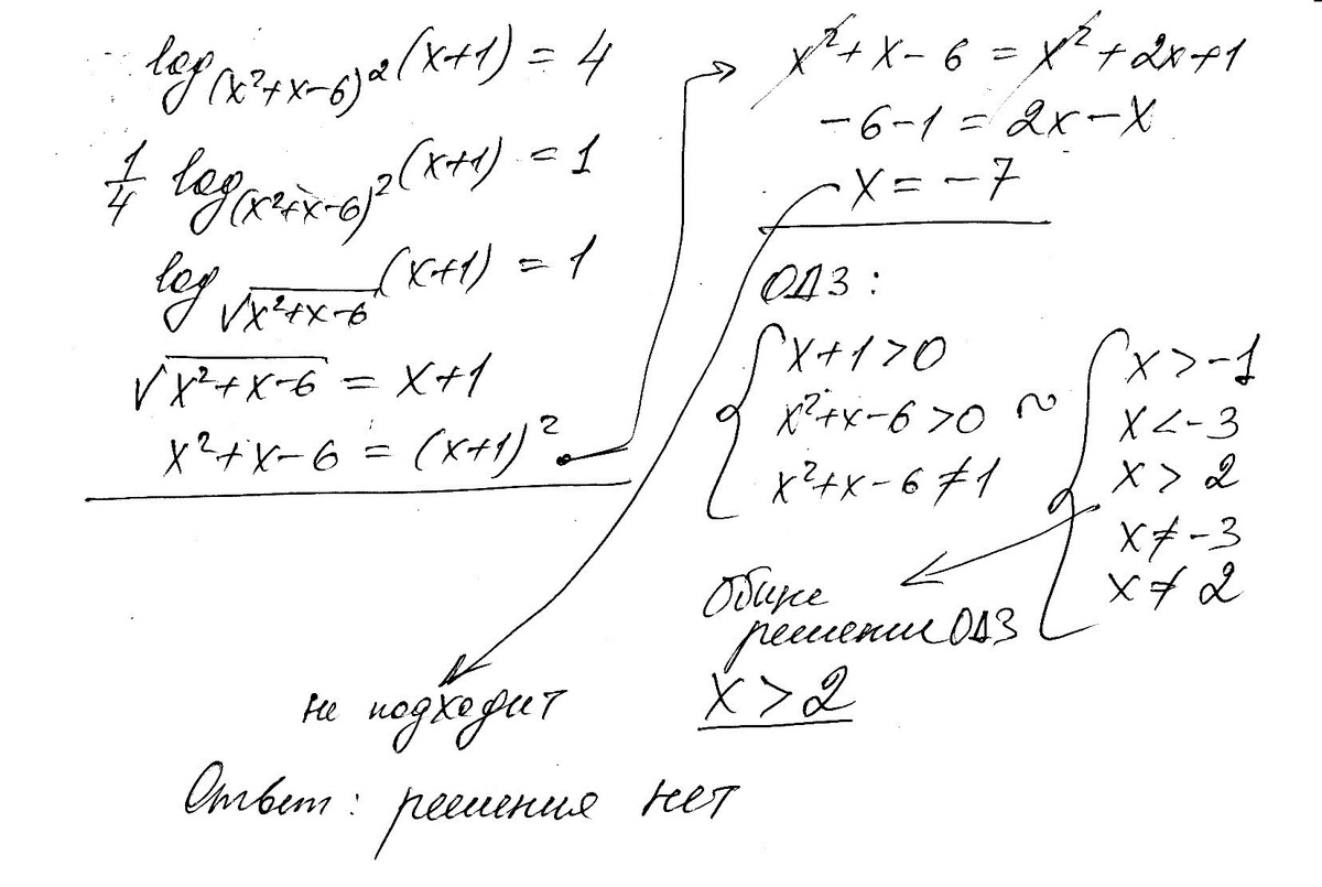
log(x^2+x-6)^2 по основанию x+1=4
Ответы
Ответ дал:
0
Решение представлено ниже =+=
Приложения:


Вас заинтересует
2 года назад
2 года назад
8 лет назад
10 лет назад
10 лет назад
10 лет назад