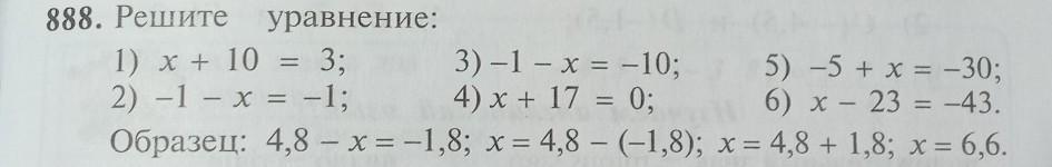
888. Решите
уравнение:
1) х + 10 = 3; 3) –1 - х = -10; 5) -5 + х = -30;
2) -1 – х = -1; 4) x+ 17 = 0; 6) x — 23 = -43.
Образец: 4,8 – х = -1,8; х = 4,8 - (-1,8); х = 4,8 + 1,8; х= 6,6.
ПОМОГИТЕ ПОЖАЛУЙСТА!!!!!!!
Приложения:

Ответы
Ответ дал:
40
Ответ:
Решение во вложении.
Приложения:

sambofantom:
БОЛЬШОЕ СПАСИБО
Ответ дал:
8
Ответ:
1)х=3-10, х=-7
2)-х=-1+1, -х=0, х=0
3)-х=-10+1 ,-х=-9,(умножаем усё выражение на -1) , х=9
4)х=-17
5)х=-30+5, х=-25
6)х=-43+23, х=-20
Пошаговое объяснение:
Вас заинтересует
2 года назад
2 года назад
8 лет назад
8 лет назад