• Предмет: Алгебра
  • Автор: 10mp0wer09
  • Вопрос задан 3 года назад

ПОЖАЛУЙСТА РЕШИТЕ НЕ МОГУ ДУМАТЬ УЖЕ!

Приложения:

Ответы

Ответ дал: hote
1

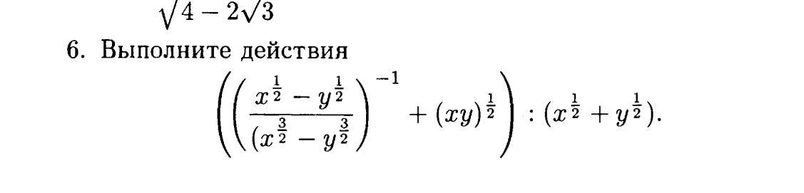
\displaystyle \bigg((\frac{x^{1/2}-y^{1/2}}{x^{3/2}-y^{3/2}})^{-1}+(xy)^{1/2}\bigg):\frac{x^{1/2}+y^{1/2}}{1}=\\\\=\bigg(\frac{x^{3/2}-y^{3/2}}{x^{1/2}-y^{1/2}} +x^{1/2}*y^{1/2}\bigg)*\frac{1}{x^{1/2}+y^{1/2}}=\\\\=\bigg(\frac{(x^{1/2})^3-(y^{1/2})^3}{x^{1/2}-y^{1/2}}+x^{1/2}*y^{1/2}\bigg)*\frac{1}{x^{1/2}+y^{1/2}}=\\\\=\bigg(\frac{(x^{1/2}-y^{1/2})((x^{1/2})^2+x^{1/2}*y^{1/2}+(y^{1/2})^2)}{x^{1/2}-y^{1/2}}+x^{1/2}*y^{1/2}}\bigg)*\frac{1}{x^{1/2}+y^{1/2}}=\\\\

\displaystyle=(x+x^{1/2}*y^{1/2}+y+x^{1/2}*y^{1/2})*\frac{1}{x^{1/2}+y^{1/2}}=\\\\=\frac{x+2x^{1/2}y^{1/2}+y}{x^{1/2}+y^{1/2}}=\frac{(x^{1/2}+y^{1/2})^2}{x^{1/2}+y^{1/2}}=x^{1/2}+y^{1/2}=\sqrt{x}+\sqrt{y}


Аноним: помогите
Аноним: пожалуста с моим вопросом
Аноним: по алгебре
Аноним: Посмотрите вопрос в моем аккаунте
Аноним: там где "? вопропсы"
Вас заинтересует