• Предмет: Математика
  • Автор: sofakudravcekva859
  • Вопрос задан 3 года назад

СРОЧНО, РЕШИТЕ 2 ВАРИАНТ, НОМЕР 4

Приложения:

Ответы

Ответ дал: DasTanir
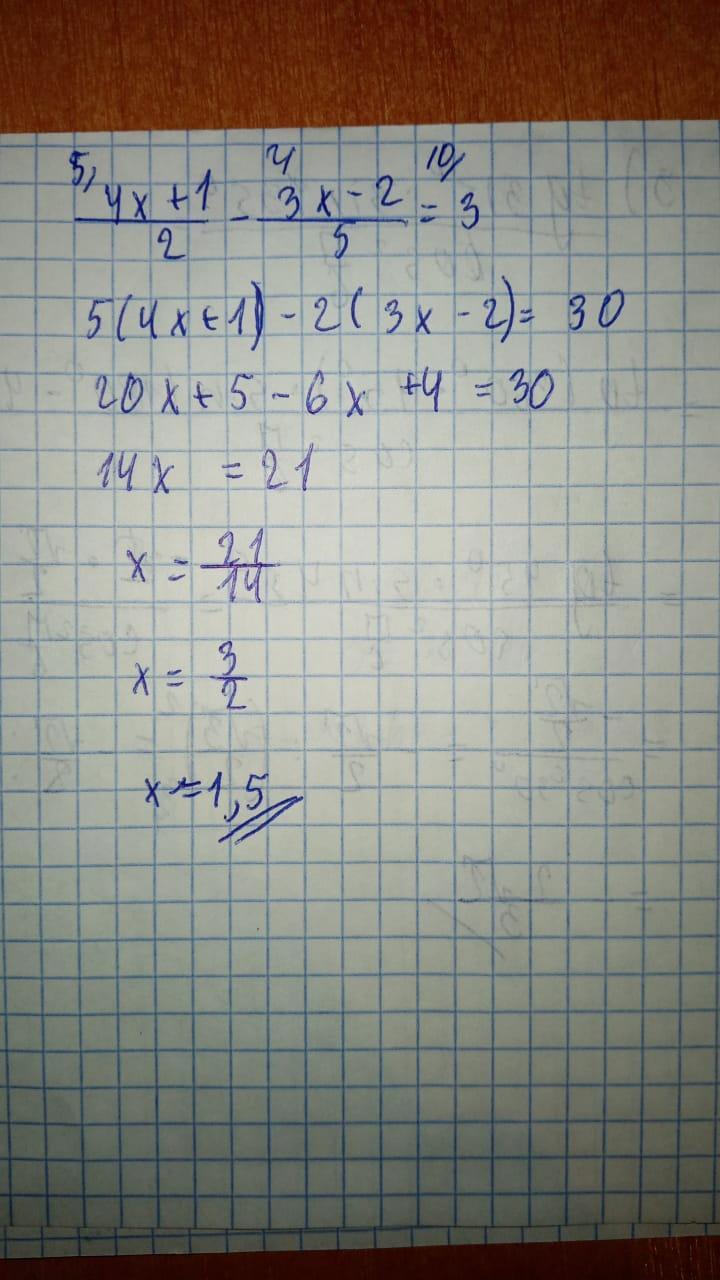
1

Ответ: 1,5

Пошаговое объяснение: Решение пошаговое на фото

Приложения:
Ответ дал: amraevadina2006
0

Ответ:

4х-3х=3+0,4-0,5=2,9.

-7х=2,9.

х=- 2,9/7≈-0,4.

Пошаговое объяснение:

Вас заинтересует