• Предмет: Математика
  • Автор: Аноним
  • Вопрос задан 3 года назад

Пж помогите математика

Приложения:

Аноним: Быстрее
Аноним: Помогите пж
Аноним: Очень нужен
Аноним: Лучший ответ
Аноним: Скорее
Аноним: Помогите
Аноним: Быстро
Аноним: Пж быстрее

Ответы

Ответ дал: DianaBrilliant
2

Ответ:

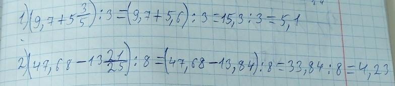
Суретте

Пошаговое объяснение:

Сәттілік!!!!!!

Приложения:

Аноним: Спосиба
DianaBrilliant: Не за что!
Вас заинтересует