Ответы
Ответ дал:
0
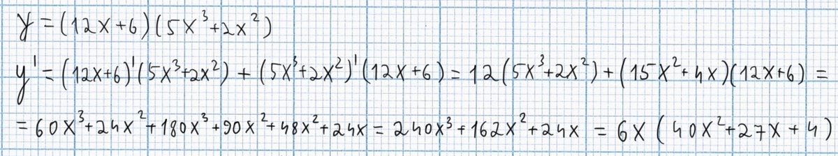
Решение на картинке.
Приложения:


Ответ дал:
0
Сейчас
Ответ дал:
0
Благодарю безмерно!
Ответ дал:
0
Отправил.
Вас заинтересует
2 года назад
8 лет назад
10 лет назад
10 лет назад