Ответы
Ответ дал:
0
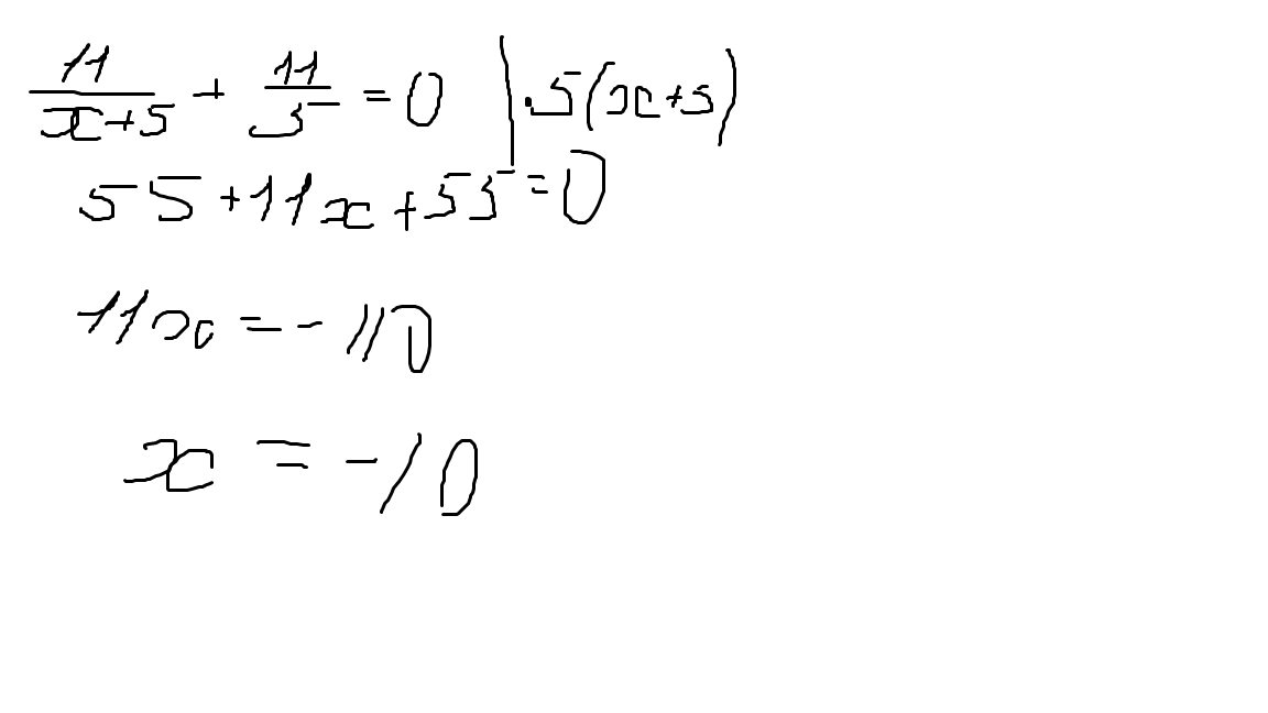
там избавляемся от знаменателя и получаем это :)
Приложения:

Вас заинтересует
8 лет назад
8 лет назад
10 лет назад
10 лет назад
10 лет назад