• Предмет: Математика
  • Автор: Аноним
  • Вопрос задан 3 года назад

СРОЧНО СРОЧНО СРОЧНО СРОЧНО СРОЧНО СРОЧНО СРОЧНО СРОЧНО СРОЧНО СРОЧНО СРОЧНО СРОЧНО СРОЧНО СРОЧНО СРОЧНО СРОЧНО СРОЧНО СРОЧНО СРОЧНО СРОЧНО СРОЧНО СРОЧНО СРОЧНО СРОЧНО СРОЧНО СРОЧНО СРОЧНО СРОЧНО СРОЧНО СРОЧНО СРОЧНО СРОЧНО СРОЧНО СРОЧНО СРОЧНО СРОЧНО СРОЧНО СРОЧНО СРОЧНО СРОЧНО СРОЧНО СРОЧНО СРОЧНО СРОЧНО СРОЧНО СРОЧНО СРОЧНО СРОЧНО СРОЧНО СРОЧНО СРОЧНО СРОЧНО СРОЧНО СРОЧНО СРОЧНО СРОЧНО СРОЧНО СРОЧНО СРОЧНО СРОЧНО СРОЧНО СРОЧНО СРОЧНО СРОЧНО СРОЧНО СРОЧНО СРОЧНО СРОЧНО СРОЧНО СРОЧНО СРОЧНО СРОЧНО СРОЧНО СРОЧНО​

Приложения:

beresnevarsen027: на укр. написано

Ответы

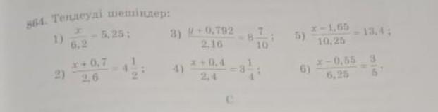
Ответ дал: molodoi1223
0

Ответ:

x/6,2=5,25

x/31/5=5,25

5x/31=5,25

x=31/5x5,25

x=31/5+21/4

x=651/2

x=31/11/2x=32,55

x+0,7/2,6=4/1/2

x+7/10/2=4/1/2

10x+7/10/2=9/2

10x+7/20=9/2

2(10x+7)=180

10x+7=90

10x=90-7

10x=83

x=83/10

x=8/3/10=8,3

Пошаговое объяснение:

Это / Означяет дробь


watermelonPlays: ПОЖАЛУЙСТА ОТВЕТЬТЕ НА МОЙ ПОСЛЕДНИЙ ВОПРОС
Вас заинтересует