Ответы
Ответ дал:
2
Ответ:
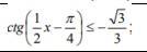
решение на фотографии.
Приложения:

Вас заинтересует
2 года назад
2 года назад
2 года назад
8 лет назад
8 лет назад