Изобразите на координатной прямой и
запишите пересечение и объединение
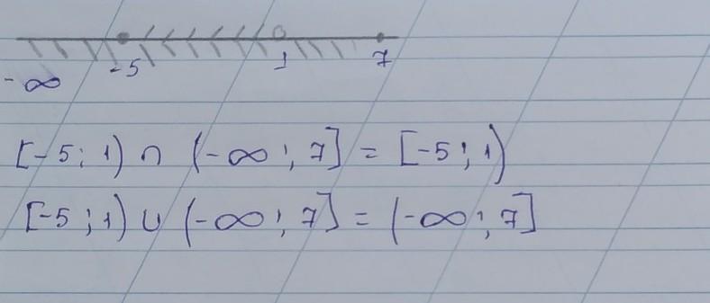
числовых промежутков: [ – 5; 1] и (−∞; 7]
ПЖ ДАМ 50 БАЛЛОВ
Ответы
Ответ дал:
1
Ответ:
лучший ответ можно пжпжпж
Приложения:

almuxanbetova79:
бұл дұрыс
Вас заинтересует
2 года назад
2 года назад
2 года назад
8 лет назад
8 лет назад
9 лет назад
9 лет назад