• Предмет: Математика
  • Автор: linaalpysbaeva
  • Вопрос задан 3 года назад

4,328 : 326 (в столбик) можно подробно?


Аноним: Розвяку Неман

Ответы

Ответ дал: omaaslanbekrov
1

           326

_432,8|___

  326   |135,0

--------

_1068

  978

  ------

   50

както так

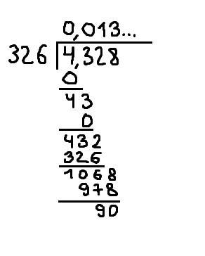
Ответ дал: cashpass01
1

Ответ:

На фото!

Пошаговое объяснение:

Приложения:

linaalpysbaeva: Спасибо)
cashpass01: Пожалуйста
Вас заинтересует