• Предмет: Алгебра
  • Автор: sahibnazarov321
  • Вопрос задан 11 лет назад

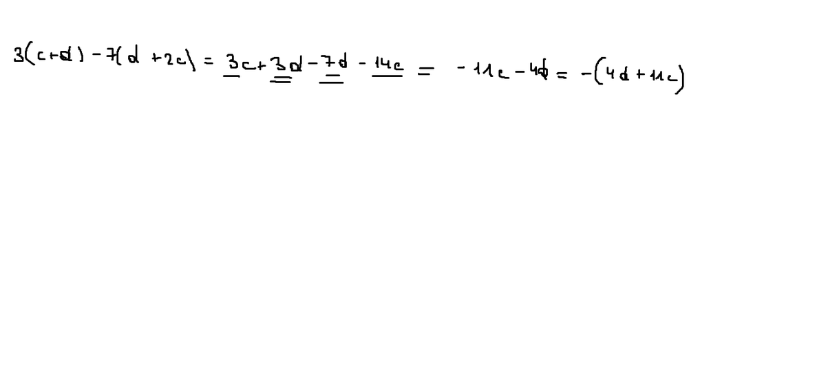
3 ( c+d ) -7 ( d+2c ) =

Ответы

Ответ дал: nonikya
0
вот, решение прикрепляю
Приложения:
Ответ дал: Аноним
0
3(c+d)-7(d+2c)=3c+3d-7d-14c=-4d-11c
Приложения:
Вас заинтересует