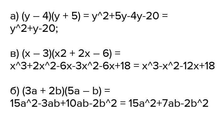
представьте в виде многочлена: а) (у-4)(у+5)
б) (3а+2b)(5а-b)
в) (х-3)(х²+2х - 6)
пожалуйста помогите, идёт контрольная работа
Ответы
Ответ дал:
1
Объяснение:
.........................
Приложения:

Вас заинтересует
2 года назад
2 года назад
2 года назад
2 года назад
8 лет назад
9 лет назад