• Предмет: Математика
  • Автор: kanstantun123qep678
  • Вопрос задан 3 года назад

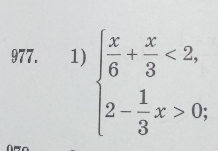
сделайте ПЖ 977 упражнение пожалуйста пожалуйста пожалуйста срочно!!! там нужно ещё отметить на координатной прямой ​

Приложения:

kanstantun123qep678: пж пж

Ответы

Ответ дал: Helper722
0

Ответ:

Пошаговое объяснение:

Приложения:
Вас заинтересует