• Предмет: Математика
  • Автор: hapshenkotetiana
  • Вопрос задан 3 года назад

Допоможіть будь ласка

Приложения:

Ответы

Ответ дал: serovaksusa1
1

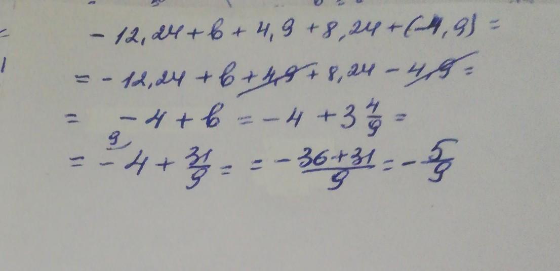
Ответ:

Смотри решение на фото

Приложения:
Вас заинтересует